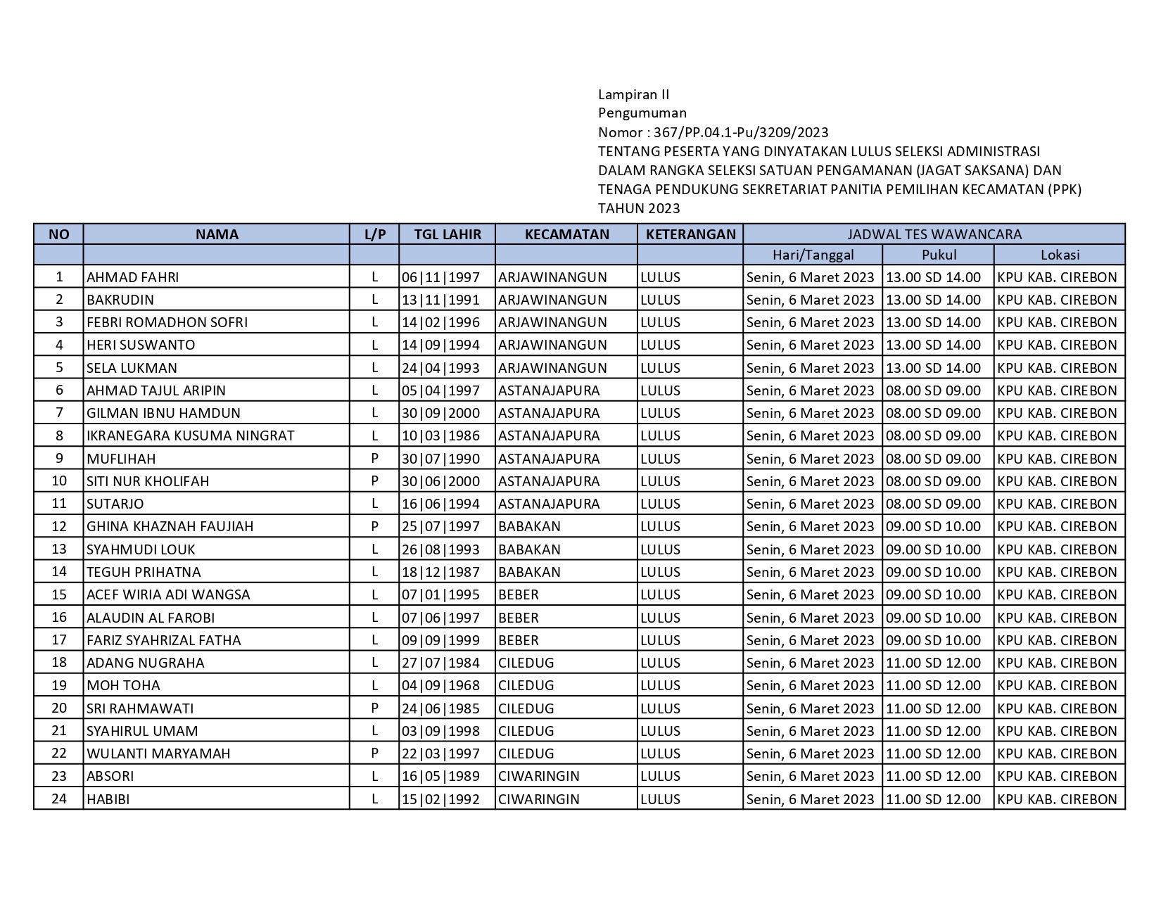
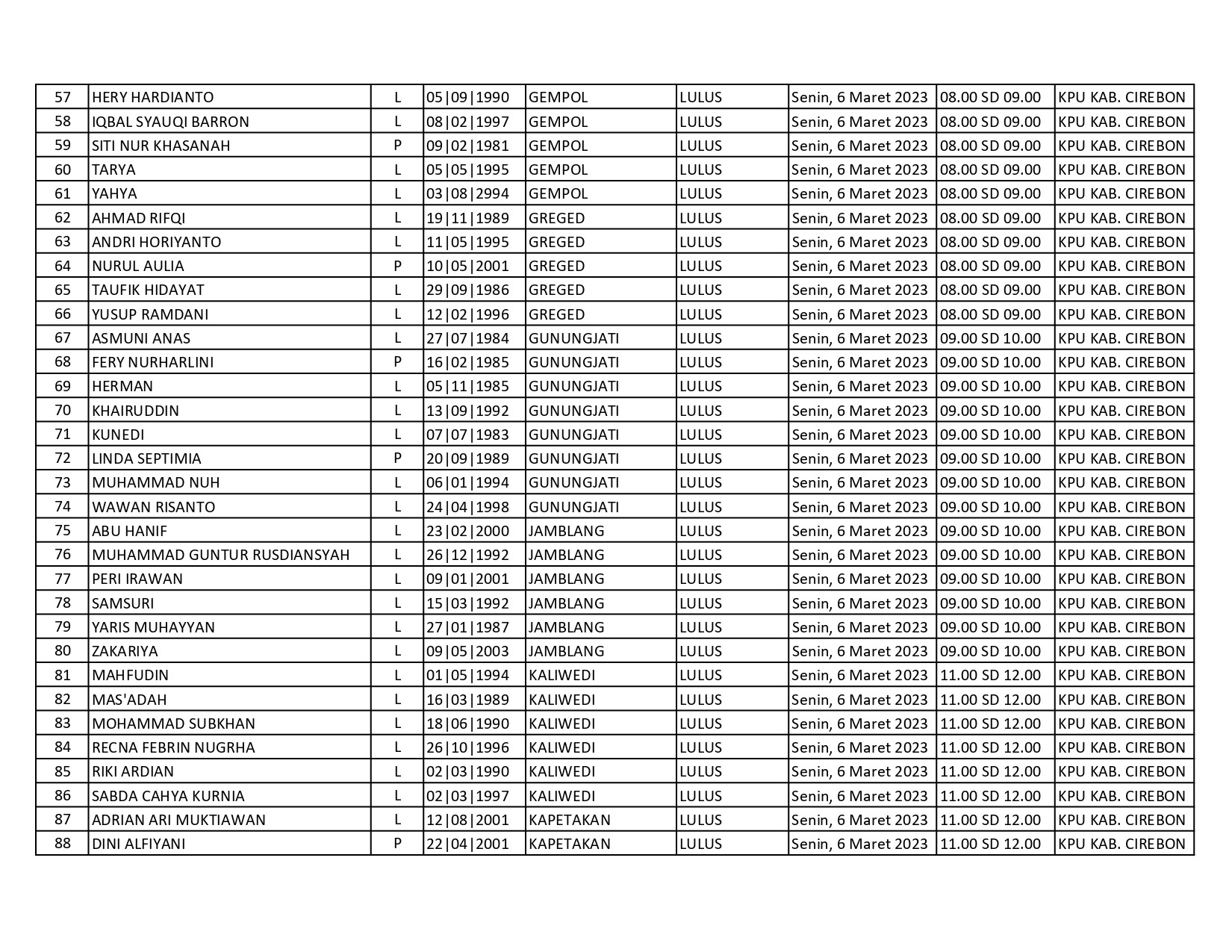
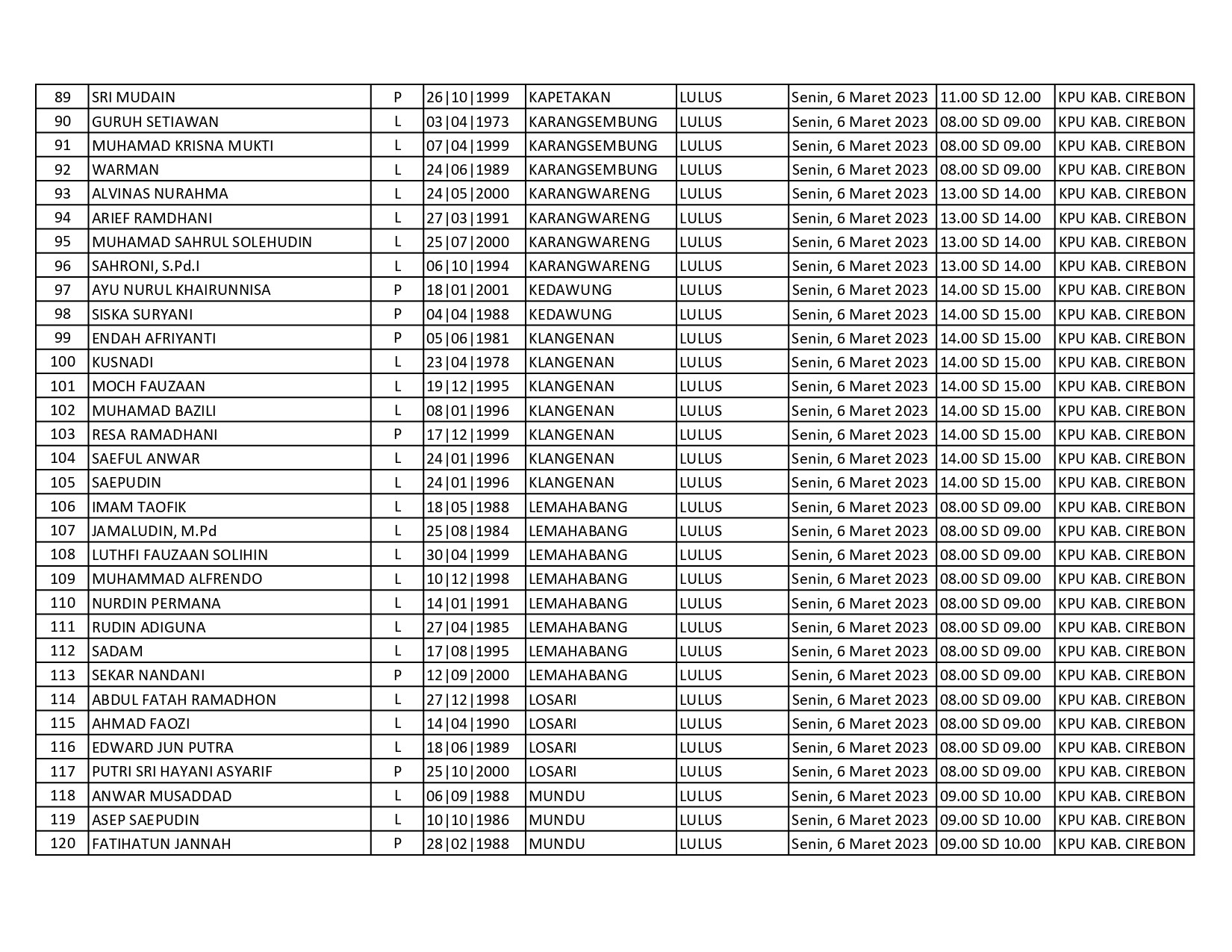
PESERTA YANG DINYATAKAN LULUS SELEKSI ADMINISTRASI DALAM RANGKA SELEKSI SATUAN PENGAMANAN (JAGAT SAKSANA) DAN TENAGA PENDUKUNG SEKRETARIAT PANITIA PEMILIHAN KECAMATAN (PPK)









Bagikan:
Telah dilihat 646 kali